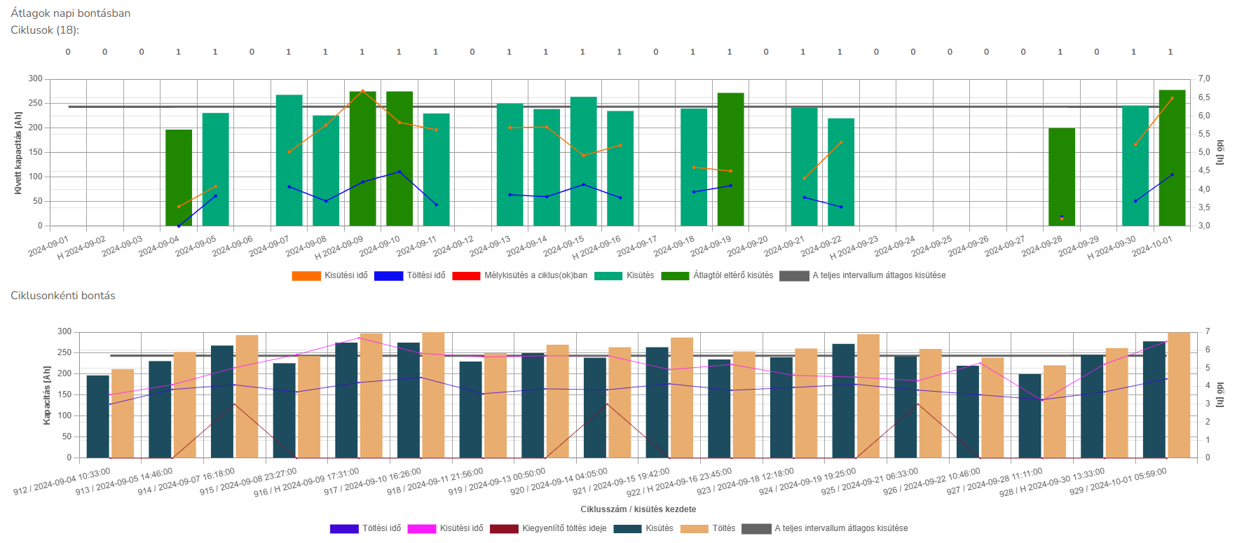
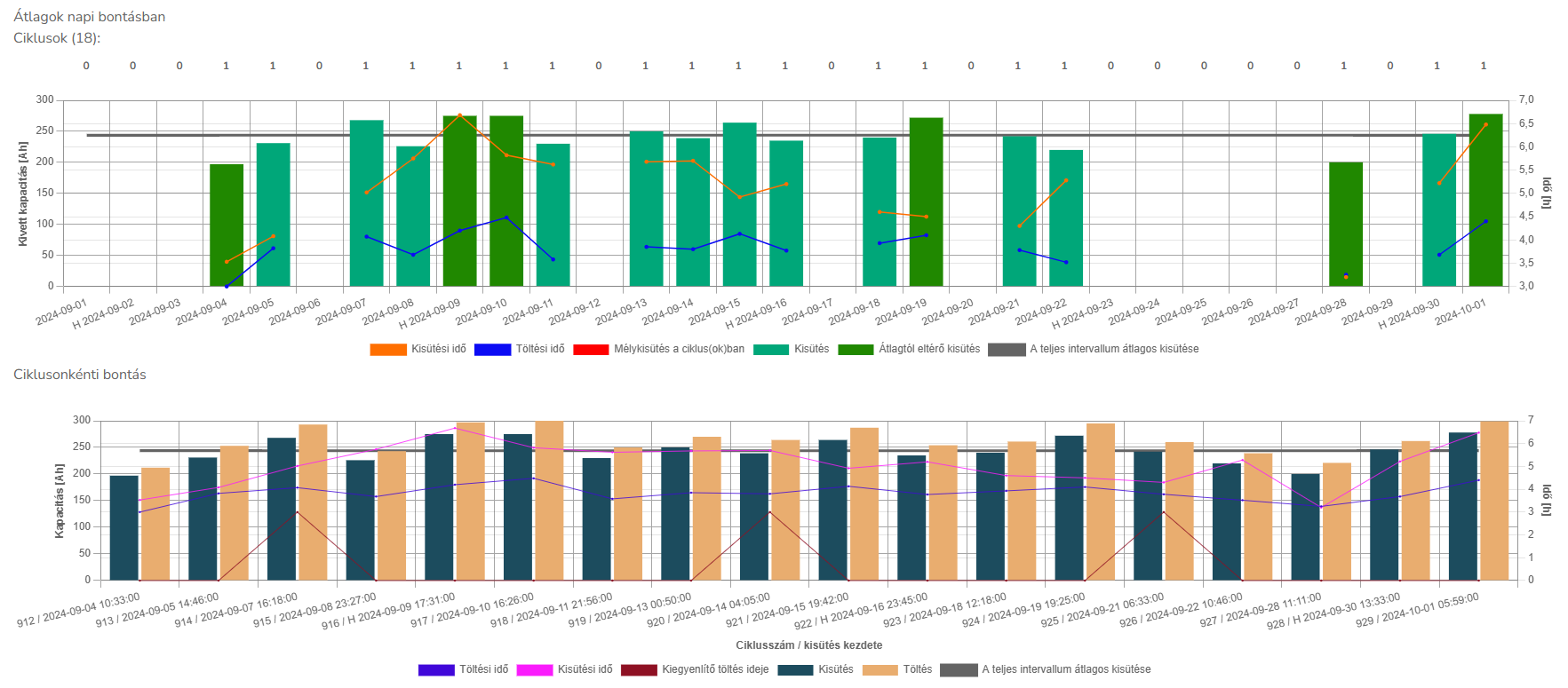
Akkumulátor ciklus idővonal riport
Összefoglalja az akkumulátor használatának összes paraméterét, gyors áttekintést biztosítva ezzel. A lekérdezés intervallumától függően napi (hat hónap alatt), heti (fél és két év között) vagy havi bontást (két év felett) használ.
Az átlagostól eltérő terhelést táblázatos formában is megjeleníti.


Nincs megjegyzés